“小字体”竟藏“大麻烦”?看司法如何助力梅州金柚“香飘四方”
梅县区法院:“示范判决”推动纠纷“一揽子”高效化解
梅州市梅县区法院:以案释法,敲响知识产权保护警钟
网站首页
法院概况
法院介绍
法院领导
机构设置
联系我们
新闻聚焦
工作动态
媒体关注
司法公开
审判流程
执行信息
裁判文书
庭审直播
失信执行人
法院公告
开庭公告
预决算公开
其他公开
诉讼服务
网上立案
诉讼指南
党廉建设
新闻聚焦
工作动态
媒体关注
您现在的位置:
网站首页
>>
新闻聚焦
>>
工作动态
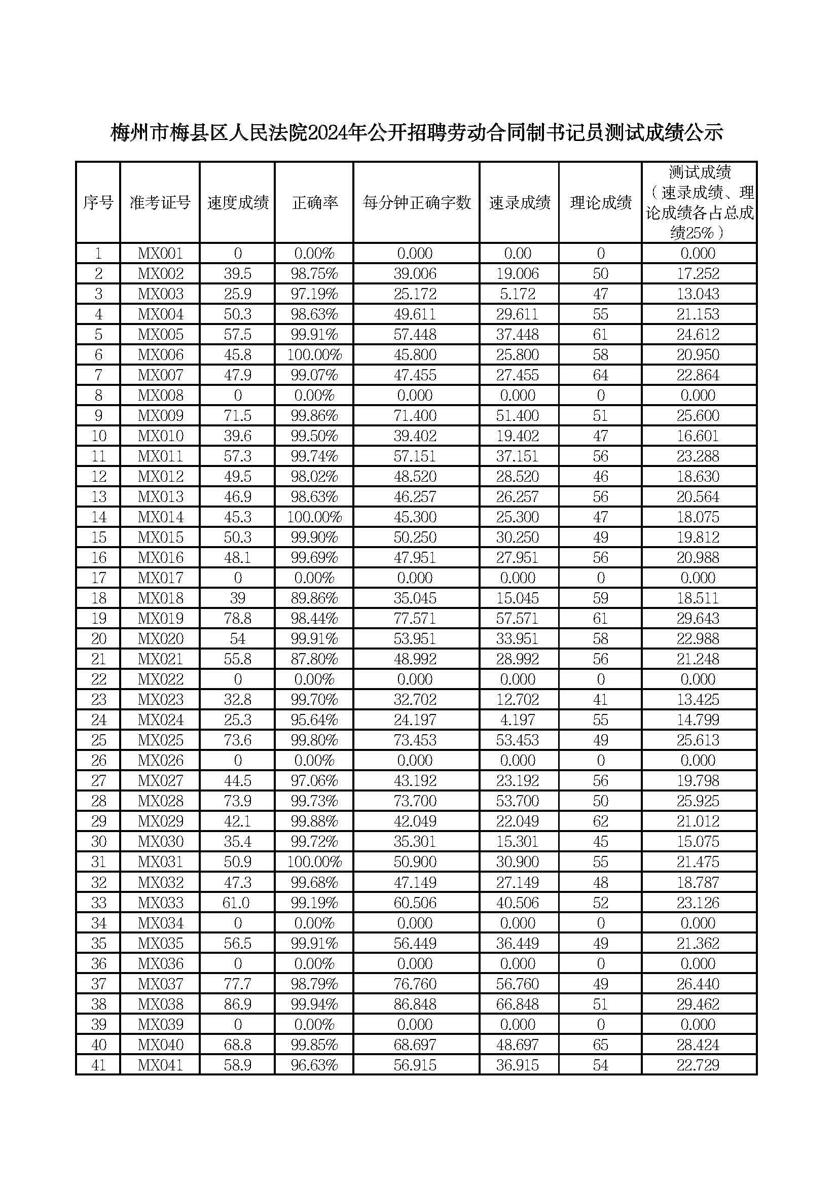
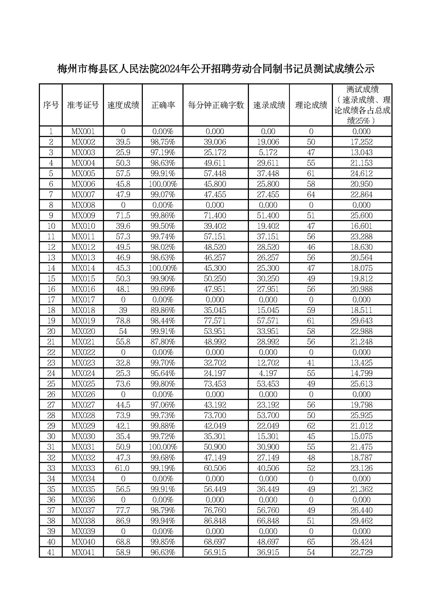
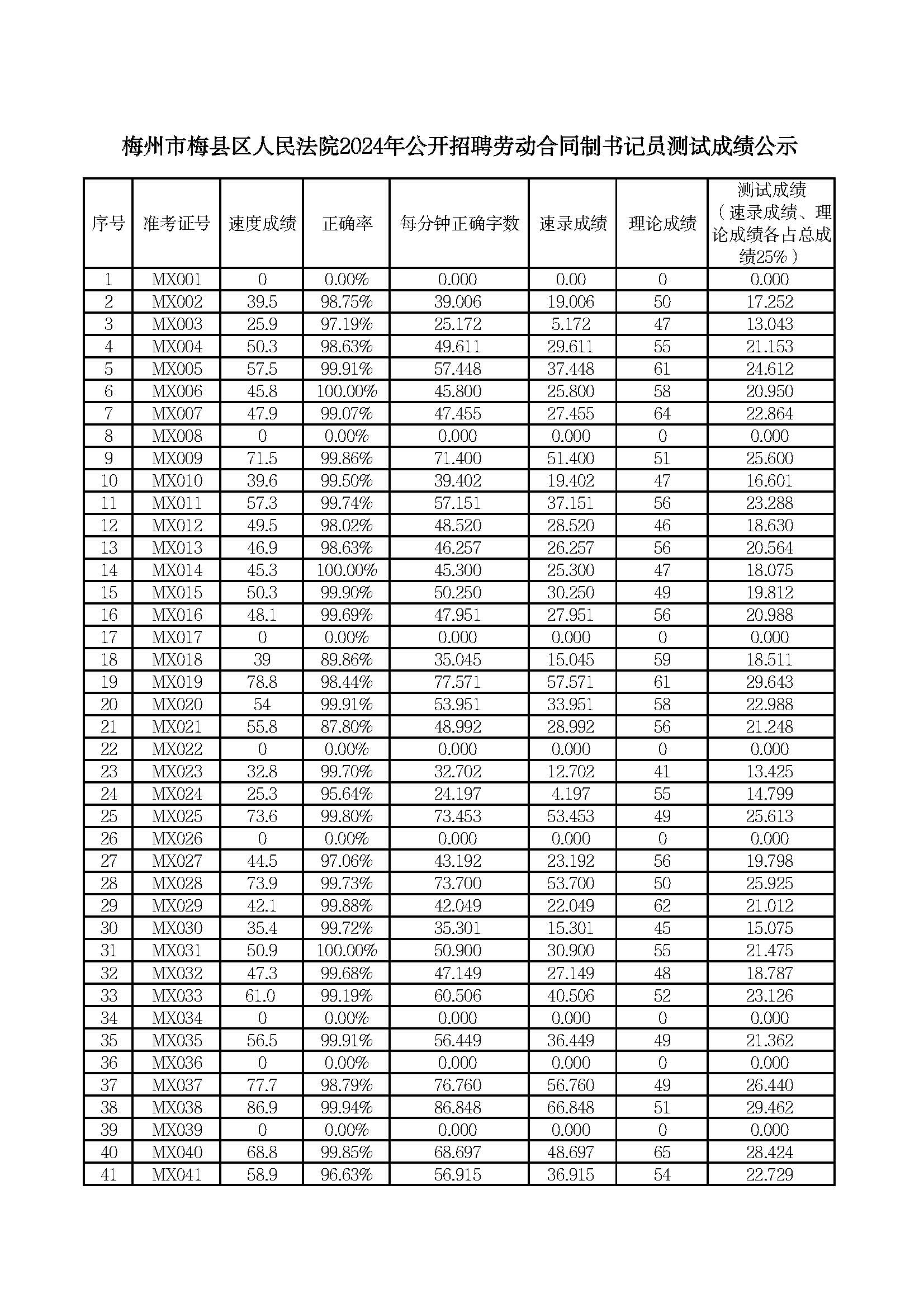
梅州市梅县区人民法院2024年公开招聘劳动合同制书记员测试成绩公示
发布时间:[2024-11-20]
来源:梅州市梅县区人民法院
浏览次数:1692
分享到:
中国法院网
中华人民共和国最高人民法院
广东法院网
梅州市人民政府
梅州市中级人民法院